Radarid, raadioluure ja tuulepargid
Re: Radarid, raadioluure ja tuulepargid
Aleksander Laane ajab peaaegu kogu aeg jama. Mõnel inimesel on kohe selline omadus.
Milleks seda sektorit kasutada annaks? Dessandi istutamiseks rannikule...?
See, et sektor suhteliselt kitsas on, pole muidugi mingi vabandus, sest kui ühtesid affe lubada, tulevad kohe järgmised ja ehitavad laiemaks.
Milleks seda sektorit kasutada annaks? Dessandi istutamiseks rannikule...?
See, et sektor suhteliselt kitsas on, pole muidugi mingi vabandus, sest kui ühtesid affe lubada, tulevad kohe järgmised ja ehitavad laiemaks.
Miks Venemaa Ukrainas sõdib?
Kas Ukraina kaotab?
2015 jaanuari pealetung
Karmi käega valitsus Ukrainale?
Islamiterroristide hord tuleb?
Moskva jaoks ei võimutse separatistid mitte Donetskis ega Luganskis, vaid Kiievis.
Kas Ukraina kaotab?
2015 jaanuari pealetung
Karmi käega valitsus Ukrainale?
Islamiterroristide hord tuleb?
Moskva jaoks ei võimutse separatistid mitte Donetskis ega Luganskis, vaid Kiievis.
Re: Radarid, raadioluure ja tuulepargid
Laiemalt näiteks märkamatuks lähenemiseks. Eelhoiatuse lühendamiseks. Juudid on taolisi asju ju edukalt kasutanud ja ei maksa venelasi nrist rumalamateks pidada. Alahindamine on alatasa läbi ajaloo kurjalt kätte maksnud. Mõelgem, mitut Su-34 ,oleks vaja meie tehnikabaaside segamini pööramiseks...Milleks seda sektorit kasutada annaks? Dessandi istutamiseks rannikule...
Errare humanum est-aga veel inimlikum on selle teise kraesse väänamine...
Re: Radarid, raadioluure ja tuulepargid
Sõnajalad on 79-aastase emeriitprofessori oma vankri ette rakendanud, kes säravasilmi pajatab aia asemel aiaaugust...millise suurepärase innovatsiooniga olla selle seadusrikkumise puhul tegemist...
https://m.arileht.delfi.ee/article.php? ... ajandus%29
https://m.arileht.delfi.ee/article.php? ... ajandus%29
Errare humanum est-aga veel inimlikum on selle teise kraesse väänamine...
Re: Radarid, raadioluure ja tuulepargid
Need "jalgpalliväljaku suuruste tiivikutega" ventilaatorid on innovatiivsetes maades juba eilne tehnoloogia tuule püüdmiseks ning neid eelistatakse siinsetele affidele kaela määrida.
Elu on liiga lühike et raisata seda lollide peale tõestamaks et nad on lollid /道德经 (Dàodéjīng)/
Parem olla tark ja rikas kui loll ja vaene...
Parem olla tark ja rikas kui loll ja vaene...
Re: Radarid, raadioluure ja tuulepargid
Kuskilt Luuga lahelt on Aidule suurusjärgus 80 km. SU-34 jaoks vahe 2 minutit?
Miks Venemaa Ukrainas sõdib?
Kas Ukraina kaotab?
2015 jaanuari pealetung
Karmi käega valitsus Ukrainale?
Islamiterroristide hord tuleb?
Moskva jaoks ei võimutse separatistid mitte Donetskis ega Luganskis, vaid Kiievis.
Kas Ukraina kaotab?
2015 jaanuari pealetung
Karmi käega valitsus Ukrainale?
Islamiterroristide hord tuleb?
Moskva jaoks ei võimutse separatistid mitte Donetskis ega Luganskis, vaid Kiievis.
Re: Radarid, raadioluure ja tuulepargid
2 minutit on tegelikult päris pikk aeg, maailmarekordi omanik jõuab selle ajaga kilomeetri läbi lipata. Aga üldiselt on see radariteema poleerimine mõttetu- on seadus, on sellele kõrge kaarega lasknud seltskond ja pole vähimatki põhjust vendadele issandas vabandusi otsida. Dura lex, sed lex.
Errare humanum est-aga veel inimlikum on selle teise kraesse väänamine...
Re: Radarid, raadioluure ja tuulepargid
Hea škets Ärilehelt, aga sealt on puudu Viru-Nigula, Purtse (rajatav) ja veel mõned tuulikud.
Üks asi on otsekiir, aga teine korduvalt mainitud sektorisse tekkivad signaalihäired labade peegelduselt. Selle tulemusel tekib raskusi nii tuvastamisega kui ka sihitamisega. Lisaks veel valesihtmärgid. Seega on mõju suurem kui ainult ainult otsekiire sektoris ja häiritud sektor on laiem.
Moodsatel ja tundlikel 3D radaritel on ekraanil päris palju müra (linnuparved, äiksepilved), mida tarkvara välja filtreerib. Aga selge on see, et mida vähem jura seal kiire ees, seda lihtsam filtreerida.
Üks asi on otsekiir, aga teine korduvalt mainitud sektorisse tekkivad signaalihäired labade peegelduselt. Selle tulemusel tekib raskusi nii tuvastamisega kui ka sihitamisega. Lisaks veel valesihtmärgid. Seega on mõju suurem kui ainult ainult otsekiire sektoris ja häiritud sektor on laiem.
Moodsatel ja tundlikel 3D radaritel on ekraanil päris palju müra (linnuparved, äiksepilved), mida tarkvara välja filtreerib. Aga selge on see, et mida vähem jura seal kiire ees, seda lihtsam filtreerida.
Viimati muutis Roamless, 13 Mai, 2019 19:49, muudetud 2 korda kokku.
Unforeseen consequences
Re: Radarid, raadioluure ja tuulepargid
Millegipärast seostan ma seda tuulikuehitust meedia teadaannetega NATO lennukite õppelendudest mis toimuvad kõrgemal(aga mitte madalamal) kui 500 jalga ehk 150m...
Viimati muutis retti, 13 Mai, 2019 19:40, muudetud 1 kord kokku.
Re: Radarid, raadioluure ja tuulepargid
Ehk siis mida akf retti nüüd ütelda tahtiski... 
Errare humanum est-aga veel inimlikum on selle teise kraesse väänamine...
Re: Radarid, raadioluure ja tuulepargid
Tegin ka ise šketsi, mis ülimale täpsusele ei pretendeeri, aga mingi aimu annab, kui kihva kisub radaripilt.
Panin šketsile ka rajatava Purtse, mille vaidluse KaMin kaotas.
Pilti vaadates saab vast aimu, miks võitlus nii karm on. Põhimõtteliselt põhja- ja kirde sektor on vaatlusauke täis. Nii kurb kui see ka pole.
Olemasolevad tuulepargid on võetud Tuulenergia assotsiatsiooni kodukalt.
Panin šketsile ka rajatava Purtse, mille vaidluse KaMin kaotas.
Pilti vaadates saab vast aimu, miks võitlus nii karm on. Põhimõtteliselt põhja- ja kirde sektor on vaatlusauke täis. Nii kurb kui see ka pole.
Olemasolevad tuulepargid on võetud Tuulenergia assotsiatsiooni kodukalt.
Unforeseen consequences
Re: Radarid, raadioluure ja tuulepargid
Radarid ei tööta staatiliselt, seega nn kiire jutt on vaid kujunduslik väljend. Pealegi kaardipildid eeldavad lapikut Maad. Neid on 2D-s hea küll joonistada, aga reaalse eluga omavad nad vähe seost.
Lemet kirjutas:
Kamina määruse 16 https://www.riigiteataja.ee/akt/107042016009
§-s 6 prim toodud valemi puhul on vastuolu juba selles, mida kõrgemal paiknenuks Kellavere radar, seda madalamal peaks olema tuulik sama lubatud vahemaa juures. Sinna on tõstetud meelevaldselt 2 otsenähtavusega antenni valem, mis arvestab Maa kumerust ja arvestatud nn Fresneli tsoonidega. Samas on sujuvalt ära unustatud, et tuulik ei ole antenn ja selles kontekstis ei saa sellist kalkulatsiooni kasutada.
Kas lp Lemet või Roamless saab vastata, kas olemasolev "Kuradi ventilaator" reaalselt siis häirib mingite süsteemide tööd või mitte? Ma kinnitan jätkuvalt, mind ei huvita S-ide isikud (ei hakanud ka siia Kuu-uurijat tsiteerima), kuid mind huvitab, mis tegelikult toimub! Kuna ma olen inseneri koolituse läbi teinud, siis ma ei saa aktsepteerida mingit emotsionaalset BS-i. Võtke heaks, või pange pahaks. Muideks, olen Vene sõjaväes 2 aastat teeninud staabi sideväeosas, kus oli raadioluure (nimega raadiokontroll), mobiilne tavaline raadioside ja satelliitside jne. Seal "vabanedes" meile loeti sõnad peale, et meil on 10-aastane vaikimiskohustus,
.
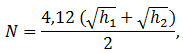
Valemis
N – nõutav minimaalne vahemaa kilomeetrites tuulegeneraatori ja raadiosüsteemi vahel;
h1 – raadiosüsteemi masti kõrgus meetrites maapinnast;
h2 – tuulegeneraatori kogukõrgus (mast koos labadega) meetrites maapinnast.
Lemet kirjutas:
On KaMina enda treitud määrus, milles on meelevaldsed valemid. Hetkel on 1 asi valmis, meil o n vastavad spetsialistid nüüdses Taltechis, kes on ka varasemate projektide kaasarääkijad, kes saavad edukalt tehnilise köögipoole läbi analüüsida ja kontrollida. Ei ole vaja ajada jutte mingitest radari kiirtest, lapikutest maadest jne.Aga üldiselt on see radariteema poleerimine mõttetu- on seadus
Kamina määruse 16 https://www.riigiteataja.ee/akt/107042016009
§-s 6 prim toodud valemi puhul on vastuolu juba selles, mida kõrgemal paiknenuks Kellavere radar, seda madalamal peaks olema tuulik sama lubatud vahemaa juures. Sinna on tõstetud meelevaldselt 2 otsenähtavusega antenni valem, mis arvestab Maa kumerust ja arvestatud nn Fresneli tsoonidega. Samas on sujuvalt ära unustatud, et tuulik ei ole antenn ja selles kontekstis ei saa sellist kalkulatsiooni kasutada.
Kas lp Lemet või Roamless saab vastata, kas olemasolev "Kuradi ventilaator" reaalselt siis häirib mingite süsteemide tööd või mitte? Ma kinnitan jätkuvalt, mind ei huvita S-ide isikud (ei hakanud ka siia Kuu-uurijat tsiteerima), kuid mind huvitab, mis tegelikult toimub! Kuna ma olen inseneri koolituse läbi teinud, siis ma ei saa aktsepteerida mingit emotsionaalset BS-i. Võtke heaks, või pange pahaks. Muideks, olen Vene sõjaväes 2 aastat teeninud staabi sideväeosas, kus oli raadioluure (nimega raadiokontroll), mobiilne tavaline raadioside ja satelliitside jne. Seal "vabanedes" meile loeti sõnad peale, et meil on 10-aastane vaikimiskohustus,
Valemis
N – nõutav minimaalne vahemaa kilomeetrites tuulegeneraatori ja raadiosüsteemi vahel;
h1 – raadiosüsteemi masti kõrgus meetrites maapinnast;
h2 – tuulegeneraatori kogukõrgus (mast koos labadega) meetrites maapinnast.
- Manused
-
- valem_4.png (2.35 KiB) Vaadatud 3023 korda
Re: Radarid, raadioluure ja tuulepargid
Puust ette ja punaseks elementaartõed- iga suur liikuv objekt tekitab radari ekraanil jälje. Linnud, lennuk, tuulikulaba. Selle annab loomulikult välistada, vähendades radari tundlikust (sel kombel kaotatakse näiteks ekraanil needsamad väikesed objektid, nagu linnud, tuulelohed etc). Muidu helendaks radari ekraan konstantselt. . Radari tundlikuse vähendamisega väheneb paraku ka avastamiskaugus. Tükk tervet talupojamõistust võiks ju abiks tulla- arvutame laba pindala ja võrdleme seda kasvõi sellesama Su-34 kere pindalaga. Mul on kuri kahtlus, et sellises võrdluses saab lennuk pika puuga pähe. Keerame radari tundlikust maha? Ilus. Enam liikuvad labad ei sega. See, et sealjuures juba ammu ka lennuki signatuur on kaotatud, meid eriti ei koti. Pea-asi, et sai riigile ära väänata...kilgata kõige selle juures, et generastorid ei sega mingilgi kombel, on omaette tobe. Veelkord- kui radar ei näe liikuvaid labasi, siis ei näe ta ammugu kordi väiksemaid ja ksugemal asuvaid lennukeid, mis jäävad tuulikute tiivikuraadiuse varju. Tõsiselt, ma enam lihtsamalt ja suuremate tähtedega ei oska. Muideks, isand Koll, millistest kahe miljoni eurostest radaritest udutatakse, mis suutvat pilti kompenseerida???
Errare humanum est-aga veel inimlikum on selle teise kraesse väänamine...
Re: Radarid, raadioluure ja tuulepargid
Kogu lugupidamise juures, kõrgtehnoloogilise tehnika puhul talupojamõistusega pole midagi teha. Seal loeb katse, teooria jne. Enamus talupoegadel on kindlasti arusaamatu, miks lennuk õhus püsib, rauast laev ei upu. Need peavad olema õiged, mitte meelvaldsed. Nagu ennist panin, on juba määrus 16-sse pistetud süstemaatiline viga. Lükake ümber, kui suudate,
.
Mina ei tea mingitest 2-miljonilistest midagi, vb olla siit saab mingit aimu (objektiivset infot algallikatest ju ei tule).
https://m.arileht.delfi.ee/article.php?id=86130053
Natuke võtab torisema, et miks Te hr Järviku juttu halvustate? Tüüp tundub olema suhteliselt lähedal seltskonnale, kes on muude kaitserajastiste projektide ajuks. Ok, see selleks.
Mina ei tea mingitest 2-miljonilistest midagi, vb olla siit saab mingit aimu (objektiivset infot algallikatest ju ei tule).
https://m.arileht.delfi.ee/article.php?id=86130053
Natuke võtab torisema, et miks Te hr Järviku juttu halvustate? Tüüp tundub olema suhteliselt lähedal seltskonnale, kes on muude kaitserajastiste projektide ajuks. Ok, see selleks.
Viimati muutis koll, 14 Mai, 2019 11:53, muudetud 1 kord kokku.
Re: Radarid, raadioluure ja tuulepargid
Järvikust ja tema jutust olen ma juba eelnevalt arvanud, mida ma arvan... vanainimest sel kombel ära kasutada on Sõnajalgade poolt IMHO üpris inetu. Ja fakt, et kõrgtehnoloogia lükkab ümber teooria aluseks olevad füüsikapõhimõtted, on üks ütlemata Tatika kardulaauraha väärt tõdemus..
Errare humanum est-aga veel inimlikum on selle teise kraesse väänamine...
Re: Radarid, raadioluure ja tuulepargid
Ka akadeemilistes ringkondades on analooglist kisklemist olnud ajast aega ja jagatud Tatika aurahasid kamaluga. Meenutame kas või, et hr E. Lippmaa väitis, et kliimasoojenemine on suur vandenõu ja tuulikud aeglustavad maakera pöörlemist. Äkki tal on isegi õigus? Samas füüsika koos tehnoloogiaga ei seisa oma arengus paigal, vaid areneb pidevalt. Samas näide, kui teemasse minna, varem oli ainuõige radari antenn parabool, nüüd on eranditult ribadega paneelid. Varem ei määranud radar objekti kaugust, nüüd määrab (3D). Arenenumad määravad veel kiiruse. Nii palju võiks viitsida radari toimist omale selgeks teha, et radar ei tööta staatilise "kiirega", vaid saadetakse välja ca mikrosekundisene impulss, siis lülitatakse saatja välja, tööle läheb vastuvõtja ja analüüsitakse tagasipeegeldunud signaali aega, faasi, sagedust. Mingit helenduvat luminofoorekraani pole ammugi. Selle mikrosekundi jaoks on pöörlev tiivik seisev.Ja fakt, et kõrgtehnoloogia lükkab ümber teooria aluseks olevad füüsikapõhimõtted, on üks ütlemata Tatika kardulaauraha väärt tõdemus..
Viimati muutis koll, 14 Mai, 2019 12:27, muudetud 1 kord kokku.
Kes on foorumil
Kasutajad foorumit lugemas: Registreeritud kasutajaid pole ja 1 külaline